• <option id="immmk"></option>
  • <noscript id="immmk"><kbd id="immmk"></kbd></noscript>
    發布時間:2023-02-02 09:28 原文鏈接: 聲光效應的基本理論

    介質折射率

    彈性形變所引起的介質折射率變化可以寫成::

    式中n為介質的折射率,S為介質形變的程度,p為(或彈光)系數(由材料性質決定)。衍射的特性與互作用長度L的大小有關。衍射特征長度的定義為

    式中λ=λ0/n為介質中光波波長(λ0為真空中波長),為機械波波長(vs為機械波速,λs為波長)。由上式可見,在短波工作時,L0很小。

    喇曼-奈斯衍射

    衍射光衍射光

    要求的滿足條件,相當于平面光柵。此種衍射的特點是:

    ①對入射光方向無嚴格要求,一般取垂直入射;

    ②衍射光有許多級(如上圖),第m級衍射光的方向和衍射效率為:

    式中Ii為入射光光強;Jm是第m階貝塞爾函數。當V=1。84弧度時,J1(V)達到最大,并有η=0。339=33。9%,高級衍射的效率更低。 

    布喇格衍射

    要求滿足條件L≥2L0,相當于體光柵。此種衍射的特點是:

    衍射光衍射光

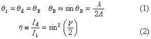
    ①只有當入射光方向滿足一定條件時,才有顯著的衍射;

    ②衍射光或者只有+1級或者只有-1級(圖b),并分別稱為±1級布喇格衍射。布喇格衍射只出現一束衍射光,且η可高達100%(V=π時),故在實用上一般都采布喇格衍射。


  • <option id="immmk"></option>
  • <noscript id="immmk"><kbd id="immmk"></kbd></noscript>
    伊人久久大香线蕉综合影院首页